CHAPTER 4 - NUMBER PATTERNS
Consider the following number pattern,
3 ; 7 ; 11; 15; 19 .........
If we follow the above number pattern closely, you will notice that after starting with number 3, our next number which we will get is after the addition of 4 and the next number after that also follow the same pattern.
In short, after the first term, each term which follows the previous number, they all follow the same rule.
In mathematical language, the first number is called term 1 (T1), second number is term 2 (T2) and so on.
T1 = 3; T2=7 and T3=11......and General term is Tn.
This particular number pattern follows a particular rule. The next term which we will get is after adding 4 to the previous term.
Example 1
Consider the following number pattern (sequence)
4; 7; 10; 13...................
1.1 Write your abservation for the above number pattern in words.
1.2 Write down next two terms in the above sequence.
1.3 What is 10th term in this sequence?
1.4 Which term number has a value of 37?
1.5 Calculate T14.
Example 2
Consider the following number pattern (sequence)
9; 4; -1; -6; -11...................
1.1 Write your abservation for the above number pattern in words.
1.2 Write down next two terms in the above sequence.
1.3 What is 10th term in this sequence?
1.4 Which term number has a value of -31?
1.5 Calculate T14.
Exercise 4.1
A. Consider the following sequence
7; 10; 13; 16; 19........
A1 Write a rule for the above number pattern in your own words.
A2. Continue the number pattern for next 3 terms.
A3. What the value of 10th term?
A4. Calculate the value of T14.
B. Consider the number pattern below
13; 9 ; 5; 1...............
B1. Write a rule for the above number pattern in your own words.
B2. Write down the next three terms.
B3. Find the value of 12th term.
B4. Calculate T15.
C. Consider the following sequence
1,5 ; 4; 6.5; 9
C1 Write a rule for the above number pattern in your own words.
C2. Continue the number pattern for next 4 terms.
C3. What the value of 10th term?
C4. Calculate the value of T12.
D. Consider the number pattern below
1/2; 3/4 ; 1; 5/4 ...............
D1. Write a rule for the above number pattern in your own words.
D2. Write down the next three terms.
D3. Find the value of 12th term.
D4. Calculate T15.
Exercise 4.2

Example 5
Consider the following sequence.
2; 4; 8; 14; 22..........
5.1 Write down rule for the above pattern in words.
5.2 Write down next two terms in the pattern.
5.3 What is the value of 8th term.
5.4 Calculate T10.
Example 6
Consider the following sequence.
22; 12; 4; -2; -6; -8..........
6.1 Write down rule for the above pattern in words.
6.2 Write down next two terms in the pattern.
6.3 What is the value of 8th term.
6.4 Calculate T10.
Exercise 4.3
Answer the following questions for each number pattern in next column.
1 Write down rule for the pattern in words.
2 Write down next two terms in the pattern.
3 What is the value of 8th term.
4 Calculate T10.
A. 2; 5 ; 10; 17; 19..........
B. 5; 8; 14; 23;.........
C. 30; 20; 14; 12........
D 3; 0 ; -6; -15.........
E 5; 10; 20;35 ; 55.........
3 Types of number patterns so far.
1. Contant difference
2. Contant ratio
3. No constant diff nor constant ratio
How to find a rule for the given number pattern with constant difference.
Consider the sequence 4; 7; 10; 13......We need to find rule for this sequence.
In order to find a rule, we have to follow few steps.
Step 1 : Create table 4 x 5 ( 4 rows / 5 or 6 columns)
Step 2 : In 1st row, write T1 to T5 or T6.
Step 3 : In second row...write common diff times 1 , diff times 2 etc
Step 4 : In last row, write you number pattern
Step 5 : Now Identify difference between row 4 and row 2 value.
Step 6 : The value in row 3 will complete your rule.
Watch video in next column to understand the process.
Exercise 4.4
The following sequences are given. Find the rule that each sequence follows.
A. 3; 7 ; 11; 15......
B. 7; 4; 1; -2 .........
C. 5; 8; 11; 14........
D. 14 ; 19 ; 23; 27.......
E. -3,5 ; -2 ; -0.5 ; 1 .........
F. 7,5 ; 5 ; 2.5 ; 0.........
First try finding the rules yourself, then watch the video in next column to check your answers.
How to use number pattern rule to get actual number pattern.
Example 7
Given the rule Tn = 2 n + 3.
Use above rule to get first 3 terms of the sequence.
Find term number 8.
What is the value of 500th term?
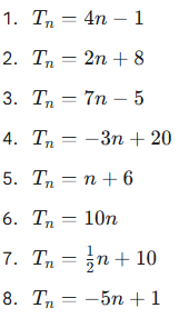
Exercise 4.5
For each of the rule given below, answer the fillowing questions.

Geometric number patterns are also number patterns, but the only difference here is that they are presented in the form of diagrams.
Let's have a look at the example below.
Example 1

Look at the diagram on the left.
Figure 1 has one square.
Figure 2 has 4 squares.
Figure 3 has 7 squares.
Figure 4 has 10 squares.
It looks like we have a kind of pattern formulated. We can create table to summurise our observation.

Once we have table created, now it is clear that we have a geometric number pattern which follows same rule as our numberic number pattern.
From here, this number pattern is no more geometric, it is now numeric.
We can apply exacly same method, which we used in previous number pattern topic. Questions that follows.

Exercise 4.6
Observe each geometric number pattern and complete the table given underneath.
a.
courtacy:www.transum.org/
b.

c.

d.

e.

f.

1. Observe the above figures related to table and chairs seating arrangement and discribe the number pattern in your own words.
2. How many table and chairs will be there in figure number 8?
3. Find a general rule for the above pattern.
4. How many chairs will be there for 15 tables?
5. If we have 204 chairs, how many tables will be required?

1. Discribe the above number pattern in your own words.
2. How many dots will be there in 5th picture?
3. How many dots will be there in 8th picture?
4. Can you figure out the rule on your own? Try first on your own.
1.

a. For each number pattern, write next 3 terms.
b. Find formula for each number pattern.
c. Calculate 10th term for each pattern.
d. Calculate 200th term for each pattern.
2.

a. For each number pattern, write next 3 terms.
b. Find formula for each number pattern.
c. Calculate 10th term for each pattern.
3.




