Al-Khwarizmi was a very smart mathematician who lived a long, long time ago, around the year 800! He was from a place called Baghdad, which is in a country known as Iraq today.
Al-Khwarizmi loved numbers and solving puzzles. He wrote a special book about how to solve problems with numbers, and this book was so important that it gave us a new word: algebra! The word "algebra" comes from the title of his book, which was called "Al-Jabr."
Because of his amazing work, Al-Khwarizmi is often called the "Father of Algebra." He helped us learn how to find missing numbers in equations, like when you have a puzzle that says "2 + ? = 5." He also helped spread the numbers we use every day (0, 1, 2, 3, 4, 5, 6, 7, 8, 9) all around the world!








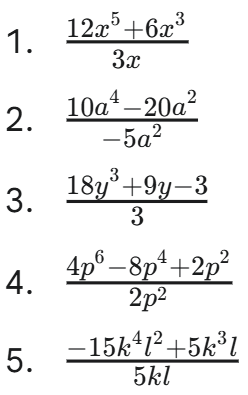
a. Write the terms below in more simplified forms.

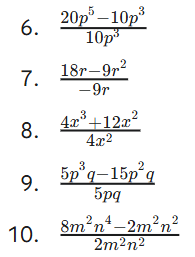
b. 

C. Peter is 10 years old today.
1. How many years he will be in 3 years time?
2. What will be his age in 10 years time?
3. How old was he 5 years ago?
4. How old will he be in x years time?
5. How old was he x years ago?
d. Tracy is 14 years old, and her mother is x years older then her.
1. In 3 years time, how old Tracy will be?
2. How old will be her mother in 3 years time?
3. What will be the sum of their ages in 5 years time?
4. How old were they 7 years ago?
5. If mother is 30 years old, how old is Tracy?
Expressions
Number expressions
2 + 3 is called number expression.
You can get simplified answer for this in number form.
= 5
Algebraic expressions
x + 3 is called algebraic expression.
You can not get its simplified answer unless you know the value of x.
Otherwise it remains x + 3.
Defination of term : " it is combination of numbers and letters involving multiplication and division."
Terms are separated by addition and subtraction.
Examples of Terms.
- 1. 3x is a term and we call it 3 times x.
2. Expression 4x + 7, has two terms separated by addition.
3. If 4x + 7 is placed inside a bracket then it is considered as a single term. ( 4x + 7 )
4. 2m + p + y - k are four terms, and ( 2m + P) + y - k are 3 terms due to bracket considered as one term.
5. 12( 3x - 5 ) is one term, because bracket is one term and 12 is in mulitplication with bracket.
6.

7.

Types of expressions.

Parts of the expressions.
Variable : The letter/s in an expression.
co-efficient : The number/letter in multiplication with unknown.
Constant term : The number without letter.

Exercise 6.1
a. State how many terms are there in the below expressions.

b. Complete the table below. Indicate variable(s) , co-eff and constants.

c. State the co-efficient of term as indicated in the bracket.

Exercise 6.2
Write statements below in the form of algebraic expressions.

Simplification of Algebraic Expressions.


Algebraic Expressions:

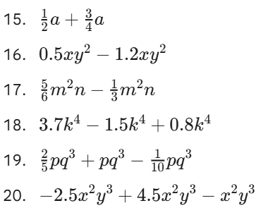
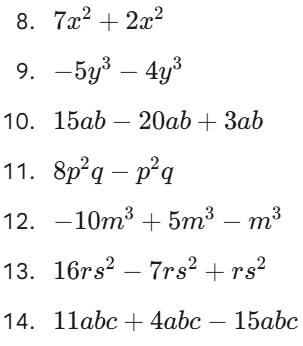
EXERCISE 1 (LIKE TERMS)


LIKE TERMS / UNLIKE TERMS





Examples

Exercise:
Simplify:





HIGHER ORDER EXAMPLES


WORD SUMS.



Exercise:

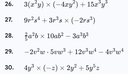
Rules of Multiplication of expressions.
1. Multiply sign.
2. Multiply numbers.
3. Mulitply each variable separately ( exponent rules).
Examples:



Exercise:


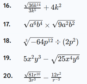
Higher order examples.




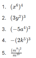
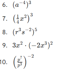
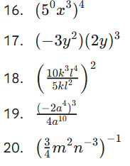
Quick revision of exponent topic.

Examples.


Exercise.
Simple, Rutine questions.




Higher order examples

Complex examples.


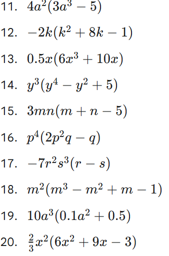
Polynomial multiply by Monomial ( Distributive law) [ arrow method]



Examples:

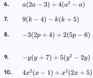
Exercises:
Easy to Mediam difficulty questions.









Examples:


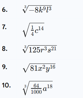
Exercise.
Easy to midium difficulty questions.


Complex examples.






Examples:



Exercise:
Easy to medium difficulty level.

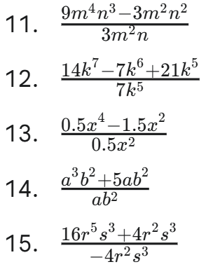
Exercise:
Medium to complex difficulty level.

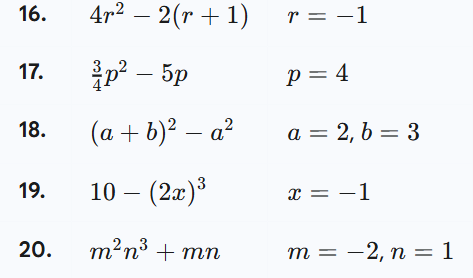
Substitution of values of variables ( x, y or any other alphabet).









Exerrcise: (Easy to Medium )


Exerrcise:



























